overleaf template galleryLaTeX templates and examples — Recent
Discover LaTeX templates and examples to help with everything from writing a journal article to using a specific LaTeX package.

Honors Thesis Template for the University of Utah, created in 2024.

A Beamer poster template with Faculty of Science, Masaryk University, Brno logo and colors.

HEBUT(河北工业大学)本科毕业设计(论文)模板。GitHub 仓库地址为:https://github.com/LiuPeng-NGP/HEBUT-Thesis

University of Chicago beamer, modified on Xu Minghao's Ritsumeikan University version

This is a template for SPMS FYP student.

The "Graduate Thesis Template" has been revised and published on the institute's website. It will be implemented from March 21, 2024. The original relevant documents will be abolished at the same time, and the original thesis template will be updated at the same time. Thesis template (the template revise the thesis originality statement, other things remain unchanged): https://grd.bit.edu.cn/xwgz/xwgz2/wjxz_xwgz/b119746.htm 本模板是由北京理工大学 Yang Yating, Wang Wei 同学提供的研究生论文模板。经过Ruifeng Ma和 Xiahua Liu的一些微不足道的修改,使其适应 Overleaf 环境和2024年的毕业论文要求。Tex的交流群号为170368921 本模板的目的是使同学可以在 Overleaf 上随时随地,不限平台,便捷并快乐地修改自己的论文。 原模板地址:https://github.com/BIT-thesis/LaTeX-template 模板原作者:Yang Yating, Wang Wei 模板修改者:Xiahua Liu 请注意:由于版权原因,Overleaf 不能够使用 Microsoft 的原字体,Overleaf 上编译使用的字体均为各个字体的开源版本。两者几乎是一模一样的,然而在 Overleaf 上预览得到的 PDF 与在 Windows 系统下编译的 PDF 有细微的字体差别,严格来说并不是一种字体。 所以请注意!虽然看起来很相似,但是字体有些不同!如果你觉得可以忍受这些不同,也可以选择提交 Overleaf 预览的 PDF。如果你觉得必须严格按照要求,也可以选择下载你的论文源代码,在 Windows 系统上本地运行 cmd 脚本文件编译 PDF(但是要先安装 texlive)。总之,选择权在你手里。 This template is a slightly modified version of the original template provided by Yang Yating, Wang Wei, in order to adapt itself to Overleaf environment. The main purpose of this template is to let every student in BIT write, modify, preview his or her graduate thesis happily on whatever platforms and at any time. The origin template is available at https://github.com/BIT-thesis/LaTeX-template Original author: Yang Yating, Wang Wei Modified by: Xiahua Liu, Ruifeng Ma PLEASE BE ADVISED that the PDF previewed on Overleaf has subtle difference from the Windows compiled one. Due to font copyright law of China, Overleaf cannot use the commercial fonts, in fact, it uses a series of free open-source fonts instead. Though they look alike at first sight, they are not identical fonts strictly speaking. So be careful to use the PDF compiled on Overleaf. It is suggested downloading the source code of your thesis and re-compile it on a local Windows computer by running the cmd script (texlive 2017 or newer version is needed) before the final submission. But whether to do it is up to you.

A LaTeX Beamer Template specifically designed for use by students and faculty at FGV EMAp. This template provides an easy and efficient way to create beautifully formatted presentations, maintaining the aesthetic and quality standards of our institution.

A beamer theme for BIT(Beijing Institute of Technology) 北京理工大学beamer主题

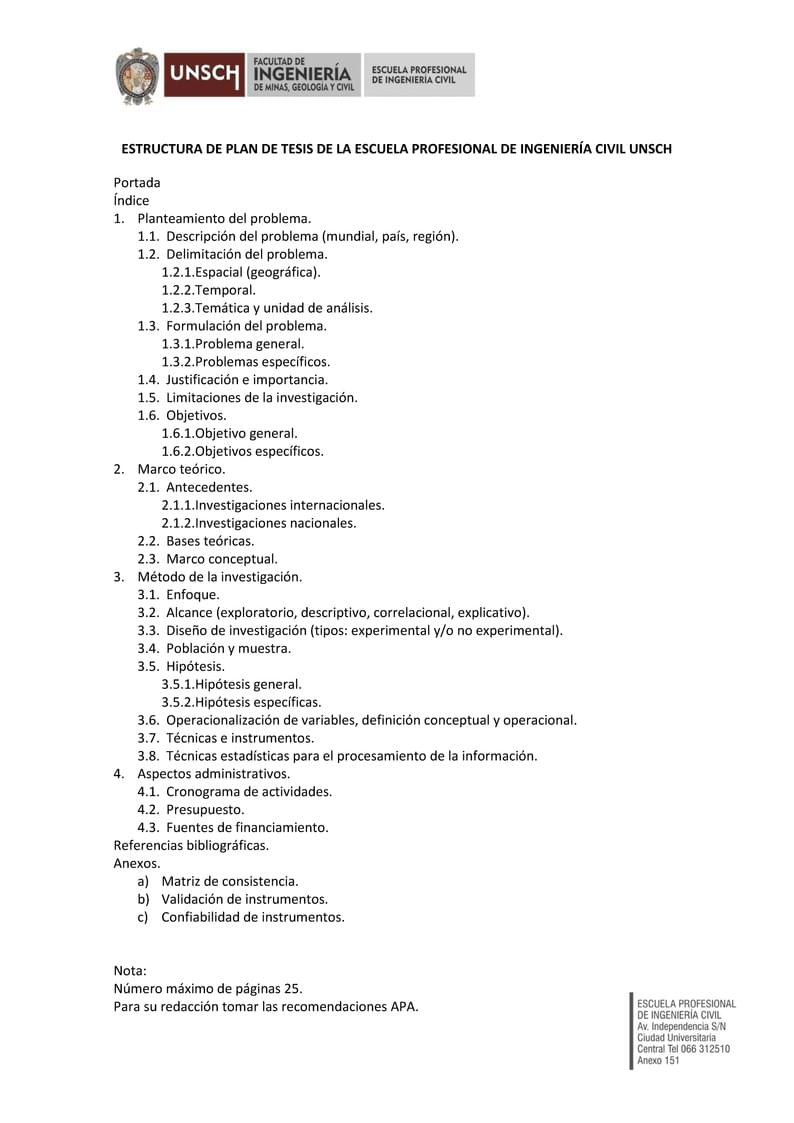
Plantilla para tesis de la PUCP, en específico para la especialidad de Ingeniería mecatrónica.
\begin
Discover why over 25 million people worldwide trust Overleaf with their work.