overleaf template galleryLaTeX templates — Recent
LaTeX templates for journal articles, academic papers, CVs and résumés, presentations, and more.

Basic CV template for students at Assam Engineering College

Thesis LaTeX Template

A document with examples of several different environments that can be used as a template for a variety of things.

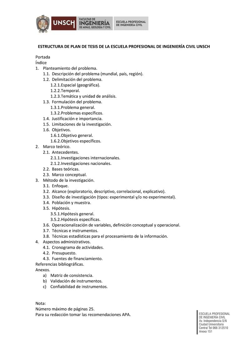
Plantilla para realizar el plan de tesis de la escuela de Ingeniería Civil de la UNSCH

Template for the BSc/MSc in computer engineering report at the Center for Applied Autonomous Sensor Systems (AASS), Örebro University.

Plantilla oficial para la realización del TFM, en castellano. Adpatada de la plantilla "UPM_thesis_template_en", de María Blanco https://www.overleaf.com/latex/templates/upm-thesis-template-en/nzjnspqsxfmm

A template for the USC Spatial Sciences Institute's Ph.D. Program in Population, Health, and Place.

This template is based on bbe template changed to be more suitable for creating programming guide books

A simplified Chinese version of https://github.com/sb2nov/resume
\begin
Discover why over 25 million people worldwide trust Overleaf with their work.